Revisamos sobre Ejemplos De Binomios Al Cuadrado Resueltos.
Ejemplos de binomio al cubo matemáticas álgebra binomio al cubo. Se conoce como una expresión algebraica que está formada por dos términos que se pueden sumar o restar.
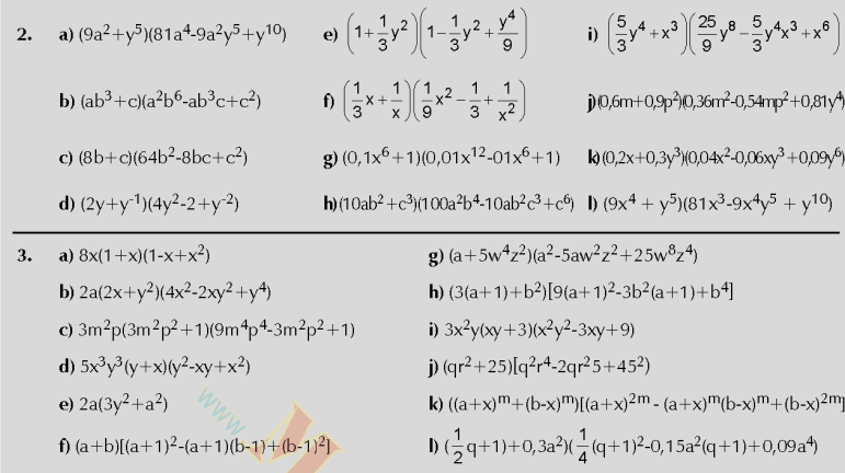
Https Www Monografias Com Trabajos Pdf4 Los Productos Notables Los Productos Notables Pdf
Los binomios cuadrados o binomios al cuadrado son aquellos en los que la suma o resta de dos términos debe ser elevada a la potencia dos.

Ejemplos de binomios al cuadrado resueltos.
Características de los binomios.
Los términos de un binomio pueden ser en dos diferentes modalidades.
Veamos cómo se representa esta definición algebraicamente.
Un binomio al cuadrado es una suma algebraica que se suma por sí misma es decir si tenemos el binomio a b el cuadrado de ese binomio es a b a b y se expresa como a b 2.
El resultado del cuadrado de un binomio es igual al cuadrado del primer término más el doble del primero por el segundo más el cuadrado del segundo y como.
A b 2 a 2 2ab b 2 veamos ejemplos de binomio al cuadrado suma.
Distinguimos el caso en el que los términos del binomio se sumen o se resten.
Se define el cubo del binomio como.
Ab² abab a ab b ab.
A b 3 a 3 3a 2 b 3ab 2 b 3.
El producto de un binomio al cuadrado se llama trinomio cuadrado perfecto.
2 x² 2² 22x x².
Reglas del binomio cuadrado.
Binomio suma al cuadrado.
El cuadrado de un binomio o binomio al cuadrado.
Se le llama cuadrado perfecto porque el resultado de su raíz cuadrada siempre es un binomio.
Un binomio al cuadrado también llamado cuadrado de un binomio es una ecuación con dos términos que son elevados al cuadrado es decir es una ecuación que se multiplica por si misma.
Cuadrado de un binomio.
La ejecución de cualquier producto notable del cuadrado de un binomio se conoce como el desarrollo de un trinomio cuadrado perfecto.
El producto de los binomios cuadrados pertenece a los llamados productos notables ya que independientemente de los valores de cada uno de los factores estos siempre siguen las mismas reglas.
Es la expresión que resulta al elevar al cubo la suma o diferencia de dos términos para su desarrollo se procede a escribir el cubo del primer término más si es suma o menos si es diferencia seguido del triple del cuadrado del primer término por el segundo término luego más el triple del primer.
En los problemas algebraicos los binomios se encontrarán involucrados en una serie de operaciones básicas cuya solución se ha estandarizado.
Cuadrado de un binomio ejercicios resueltos cuadrado de binomio.
Un dato importante de la potenciación es que la sumatoria de dos números al cuadrado no es igual a la sumatoria de los cuadrados de esos dos números sino que debe agregársele también un término más.
S ea el binomio a b.
Ecuación de segundo grado con una incognita.
Una variable con una constante como el binomio x5 ó dos variables diferentes como el binomio xy.
Si estás enteresado por adquirir este curso comunícate al e mail.
Y donde la suma o resta está elevada al cuadrado.
Binomios al cubo o cubo de un binomio.
El binomio suma al cuadrado es igual al cuadrado del primer término más el doble del producto del primero por el segundo más el cuadrado del segundo término.
Esta es la discusión relacionada ejemplos de binomios al cuadrado resueltos. El administrador del blog Nuevo Ejemplo 10 January 2019 también recopila otras imágenes relacionadas con los ejemplos de binomios al cuadrado resueltos a continuación.
Eso es lo que el administrador puede dar acerca de ejemplos de binomios al cuadrado resueltos. Gracias por visitar el sitio Nuevo Ejemplo 10 January 2019.










.gif)







