Información sobre 2 Ejemplos De Reacciones De Sintesis.
Por ejemplo las reacciones de síntesis orgánica pueden involucrar más de dos moléculas diferentes y pueden mezclarse productos junto con materias primas sin reaccionar. Numerosas reacciones de síntesis son mucho más complejas que a b c.
Quimica Santiago Reaccion Quimica De Combinacion Directa O
Se predicen los productos en una reacción o ecuación química del tipo de síntesis adición y combinación de una manera clara y precisa con muchos ejemplos.

2 ejemplos de reacciones de sintesis.
Química inorgánica facultad de ciencias químicas campus durango universidad juárez.
Sintesis caracterizacion reacciones y mecanismos de dihapto carbon60fulereno dihapto ligando bidentado tungsteno 0 tricarbonilo.
Apagar una llama sin tocarla.
Bicarbonato vinagre y combustión.
Ruben sebastian recommended for you.
H 2g ½ o 2g h 2 o g como en la ecuación de síntesis del amoniaco nh 3 donde se utiliza nitrógeno gaseoso n 2 e hidrógeno gaseoso h 2.
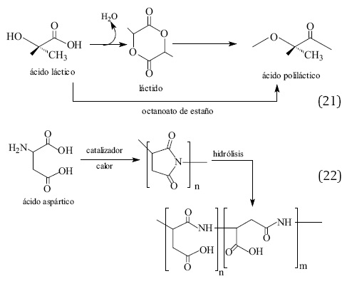
Reacciones de síntesis complejas.
Ejemplos de reacciones de composición o síntesis.
Síntesis de nano au soportados en óxidos metálicos y su actividad catalítica en reacciones de oxidación de corevista latinoamericana de metalurgia y materiales 331 43 53.
Concepto de reacción de síntisis con tres ejemplos y explicación de la estequiometría de uno de ellos.
Cuando reaccionan el hidrógeno gaseoso h2 con el oxígeno gaseoso o2 dando como producto de síntesis agua gaseosa h2o.
Eso es lo que podemos compartir 2 ejemplos de reacciones de sintesis. El administrador del blog Nuevo Ejemplo 10 January 2019 también recopila otras imágenes relacionadas con los 2 ejemplos de reacciones de sintesis a continuación.
Por lo tanto la información que podemos compartir acerca de 2 ejemplos de reacciones de sintesis. Gracias por visitar el sitio Nuevo Ejemplo 10 January 2019.


















