Esto es lo que está buscando Ejemplos De Variables En Calculo Diferencial.
Cite cuatro ejemplos de función 5. Una variable es la expresión simbólica representativa de un elemento no especificado comprendido en un conjuntoeste conjunto constituido por todos los elementos o variables que pueden sustituirse unas a otras es el universo de variables.
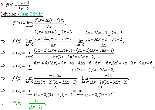
Explique el siguinficado del símbolo fx en el siguiente video se presenta como sustituir la variable independiente x en una función.

Ejemplos de variables en calculo diferencial.
El calculo diferencial se utiliza para una infinidad de cosas y situaciones de la vida cotidiana ahora veremos tres ejemplos de ellos el cálculo diferencial es una parte del análisis matemático que consiste en el estudio de cómo cambian las funciones cuando sus variables.
Copiar distribuir y comunicar públicamente la obra.
Introduccion la obsesión del hombre siempre ha sido contar y medir para ello utilizaba todo lo que su imaginación le indicaba todo aquello que le ayudara a recordar sus poseciones era utilizado para esa tarea por ejemplo utilizaba pequeños guijarros para recordar la cantidad de animales que poseia por ejemplo tenia 3 piedras medianas que le.
Qué es y para qué sirve.
Teoria y problemas de calculo diferencial.
Cálculo diferencial de funciones de varias variables i el concepto de derivabilidad en funciones reales de una variable real se generaliza a funciones de varias variables con la diferenciabilidad.
F una función con una variable generalmente se representa.
Derivadas direccionales derivadas parciales.
Veremos también las operaciones con funciones derivadas.
Cálculo diferencial e integral indice general prólogo xvi.
Diferencial de una función en un punto.
Fx si llegara a ocurrir el caso en que existan 2 cantidades las cantidades se representarían con x y si lo relacionamos con la ecuación yx34 entonces nos indica que y está en función de x y se representa de la siguiente manera.
En esta lección te voy a explicar qué es la función derivada cómo obtener las funciones derivadas para cada uno de los tipos de funciones y cómo utilizar las fórmulas de estas funciones para derivar.
En álgebra una función es caracterizada con el símbolo.
Este texto se distribuye bajo una licencia creative commons en virtud de la cual se permite.
En matemáticas la derivada de una función es uno de los dos conceptos centrales del cálculola inversa de una derivada se llama antiderivada o integral indefinida.
Si has llegado hasta aquí es porque necesitas clases de matemáticas onlinesi después de leer esto quieres que te ayude a.
De funciones de una variable francisco javier pérez gonzález departamento de análisis matemático universidad de granada.
Cite tres ejemplos de relación 3.
Mates con andrés 44234 views.
La derivada de una función en un cierto punto es una medida de la tasa en la cual una función cambia conforme un argumento se modifica.
Comenzaremos antes analizando algunas nociones más sencillas que van relacionadas.
Esto es una derivada involucra en términos matemáticos una tasa de cambio.
Bachillerato matemáticas duration.
Se llaman así porque varían y esa variación es observable y medible.
Esta es la discusión completa sobre ejemplos de variables en calculo diferencial. El administrador del blog Nuevo Ejemplo 10 January 2019 también recopila otras imágenes relacionadas con los ejemplos de variables en calculo diferencial a continuación.
Esa es la discusión que podemos transmitir acerca de ejemplos de variables en calculo diferencial. Gracias por visitar el sitio Nuevo Ejemplo 10 January 2019.

















